drclust: An R Package for Simultaneous Clustering and Dimensionality Reduction

The primary objective of simultaneous methodologies for clustering and variable reduction is to identify both the optimal partition of units and the optimal subspace of variables, all at once. The optimality is typically determined using least squares or maximum likelihood estimation methods. These simultaneous techniques are particularly useful when working with Big Data, where the reduction (synthesis) is essential for both units and variables. Furthermore, a secondary objective of reducing variables through a subspace is to enhance the interpretability of the latent variables identified by the subspace using specific methodologies. The drclust package implements double K-means (KM), reduced KM, and factorial KM to address the primary objective. KM with disjoint principal components addresses both the primary and secondary objectives, while disjoint principal component analysis and disjoint factor analysis address the latter, producing the sparsest loading matrix. The models are implemented in C++ for faster execution, processing large data matrices in a reasonable amount of time.

Ionel Prunila (Department of Statistical Sciences, Sapienza University of Rome) , Maurizio Vichi (Department of Statistical Sciences, Sapienza University of Rome)
2026-02-04

1 Introduction

Cluster analysis is the process of identifying homogeneous groups of units in the data so that those within clusters are perceived with a low degree of dissimilarity with each other. In contrast, units in different clusters are perceived as dissimilar, i.e., with a high degree of dissimilarity. When dealing with large or extremely large data matrices, often referred to as Big Data, the task of assessing these dissimilarities becomes computationally intensive due to the sheer volume of units and variables involved. To manage this vast amount of information, it is essential to employ statistical techniques that synthesize and highlight the most significant aspects of the data. Typically, this involves dimensionality reduction for both units and variables to efficiently summarize the data.

While cluster analysis synthesizes information across the rows of the data matrix, variable reduction operates on the columns, aiming to summarize the features and, ideally, facilitate their interpretation. This key process involves extracting a subspace from the full space spanned by the manifest variables, maintaining the principal informative content. The process allows for the synthesis of common information mainly among subsets of manifest variables, which represent concepts not directly observable. As a result, subspace-based variable reduction identifies a few uncorrelated latent variables that mainly capture common relationships within these subsets. When using techniques like Factor Analysis (FA) or Principal Component Analysis (PCA) for this purpose, interpreting the resulting factors or components can be challenging, particularly when variables significantly load onto multiple factors, a situation known as cross-loading. Therefore, a simpler structure in the loading matrix, focusing on the primary relationship between each variable and its related factor, becomes desirable for clarity and ease of interpretation. Furthermore, the latent variables derived from PCA or FA do not provide a unique solution. An equivalent model fit can be achieved by applying an orthogonal rotation to the component axes. This aspect of non-uniqueness is often exploited in practice through Varimax rotation, which is designed to improve the interpretability of latent variables, without affecting the fit of the analysis. The rotation promotes a simpler structure in the loading matrix, however, the rotations do not always ensure enhanced interpretability. An alternative approach has been proposed by (Vichi and Saporta 2009) and (Vichi 2017), with Disjoint Principal Component (DPCA) and Disjoint FA (DFA), suggesting to construct each component/factor from a distinct subset of manifest variables rather than using all available variables, still optimizing the same estimation as in PCA and FA, respectively.

It is important to note that data matrix reduction for both rows and columns is often performed without specialized methodologies by employing a "tandem analysis." This involves sequentially applying two methods, such as using PCA or FA for variable reduction, followed by Cluster Analysis using KM on the resulting factors. Alternatively, one could start with Cluster Analysis and then proceed to variable reduction. The outcomes of these two tandem analyses differ since each approach optimizes distinct objective functions, one before the other. For instance, when PCA is applied first, the components maximize the total variance of the manifest variables. However, if the manifest variables include high-variance variables that lack a clustering structure, these will be included in the components, even though they are not necessary for KM, which focuses on explaining only the variance between clusters. As a result, sequentially optimizing two different objectives may lead to sub-optimal solutions. In contrast, when combining KM with PCA or FA in a simultaneous approach, a single integrated objective function is utilized. This function aims to optimize both the clustering partition and the subspace simultaneously. The optimization is typically carried out using an Alternating Least Squares (ALS) algorithm, which updates the partition for the current subspace in one step and the subspace for the current partition in the next. This iterative process ensures convergence to a solution that represents at least a local minimum of the integrated objective function. In comparison, tandem analysis, which follows a sequential approach (e.g., PCA followed by KM), does not guarantee joint optimization. One potential limitation of this sequential method is that the initial optimization through PCA may obscure relevant information for the subsequent step of Cluster Analysis or emphasize irrelevant patterns, ultimately leading to sub-optimal solutions, as mentioned by (DeSarbo et al. 1990). Indeed, the simultaneous strategy has been shown to be effective in various studies, like (De Soete and Carroll 1994), (Vichi and Kiers 2001), (Vichi 2001), (Vichi and Saporta 2009), (Rocci and Vichi 2008), (Timmerman et al. 2010), (Yamamoto and Hwang 2014).

In order to spread access to these techniques and their use, software implementations are needed. Within the R Core Team (2015) environment, there are different libraries available to perform dimensionality reduction techniques. Indeed, the plain version of KM, PCA, and FA are available in the built-in package stats, namely: princomp, factanal, kmeans. Furthermore, some packages allow to go beyond the plain estimation and output of such algorithms. Indeed, one of the most rich libraries in R is psych (W. R. Revelle 2017), which provides functions that allow to easily simulate data according to different schemes, testing routines, calculation of various estimates, as well as multiple estimation methods. ade4 (Dray and Dufour 2007) allows for dimensionality reduction in the presence of different types of variables, along with many graphical instruments. The FactoMineR (Lê et al. 2008) package allows for unit-clustering and extraction of latent variables, also in the presence of mixed variables. FactoClass (Pardo and Del Campo 2007) implements functions for PCA, Correspondence Analysis (CA) as well as clustering, including the tandem approach. factoextra (Kassambara 2022) instead, provides visualization of the results, aiding their assessment in terms of choice of the number of latent variables, elegant dendrograms, screeplots and more. More focused on the choice of the number of clusters is NbClust (Charrad et al. 2014), offering 30 indices for determining the number of clusters, proposing the best method by trying not only different numbers of groups but also different distance measures and clustering methods, going beyond the partitioning ones.

More closely related to the library here presented, to the knowledge of the authors, there are two packages that implement a subset of the techniques proposed within drclust. clustrd (Markos et al. 2019) implements simultaneous methods of clustering and dimensionality reduction. Besides offering functions for continuous data, they also allow for categorical (or mixed) variables. Even more, they formulate, at least for the continuous case, an implementation aligned with the objective function proposed by Yamamoto and Hwang (2014), based on which the reduced KM (RKM) and factorial KM (FKM) become special cases as results of a tuning parameter.

Finally, there is biplotbootGUI (Nieto Librero and Freitas 2023), offering a GUI allowing to interact with graphical tools, aiding in the choice of the number of components and clusters. Furthermore, it implements KM with disjoint PCA (DPCA), as described in (Vichi and Saporta 2009). Even more, they propose an optimization algorithm for the choice of the initial starting point from which the estimation process for the parameters begins.

Like clustrd, the drclust package provides implementations of FKM and RKM. However, while clustrd also supports categorical and mixed-type variables, our implementation currently handles only continuous variables. That said, appropriate pre-processing of categorical variables, as suggested in Vichi et al. (2019), can make them compatible with the proposed methods. In extreme essence, one should dummy-encode all the qualitative variables. In terms of performance, drclust offers significantly faster execution. Moreover, regarding FKM, our proposal demonstrates superior results in both empirical applications and simulations, in terms of model fit and the Adjusted Rand Index (ARI). Another alternative, biplotbootGUI, implements KM with DPCA and includes built-in plotting functions and a SDP-based initialization of parameters. However, our implementation remains considerably faster and allows users to specify which variables should be grouped together within the same (or different) principal components. This capability enables a partially or fully confirmatory approach to variable reduction. Beyond speed and the confirmatory option, drclust offers three methods not currently available in other R packages: DPCA and DFA, both designed for pure dimensionality reduction, and double KM (DKM), which performs simultaneous clustering and variable reduction via KM. All methods are implemented in C++ for computational efficiency. Table 2 summarizes the similarities and differences between drclust and existing alternatives

The package presented within this work aims to facilitate the access to and usability of some techniques that fall in two main branches, which overlap. In order to do so, some statistical background is first recalled.

2 Notation and theoretical background

The main pillars of drclust fall in two main categories: dimensionality reduction and (partitioning) cluster analysis. The former may be carried out individually or blended with the latter. Because both rely on the language of linear algebra, Table 1 contains, for the convenience of the reader, the mathematical notation needed for this context. Then some theoretical background is reported.

Table 1: Notation
Symbol Description
n, J, K, Q number of: units, manifest variables, unit-clusters, latent factors
\(\mathbf{X}\) n x J data matrix, where the generic element \(x_{ij}\) is the real observation on the i-th unit within the j-th variable
\(\mathbf{x}_i\) J x 1 vector representing the generic row of \(\mathbf{X}\)
\(\mathbf{U}\) n x K unit-cluster membership matrix, binary and row stochastic, with \(u_{ik}\) being the generic element
\(\mathbf{V}\) J x Q variable-cluster membership matrix, binary and row stochastic, with \(v_{jq}\) as the generic element
\(\mathbf{B}\) J x J variable-weighting diagonal matrix
\(\mathbf{Y}\) n x Q component/factor score matrix defined on the reduced subspace
\(\mathbf{y}_i\) Q x 1 vector representing the generic row of Y
\(\mathbf{A}\) J x Q variables - factors, "plain", loading matrix
\(\mathbf{C}^+\) Moore-Penrose pseudo-inverse of a matrix C. \(\mathbf{C}^+ = (\mathbf{C'C})^{-1}\mathbf{C'}\)
\(\bar{\textbf{X}}\) K x J centroid matrix in the original feature space, i.e., \(\bar{\textbf{X}} = \textbf{U}^{+} \textbf{X}\)
\(\bar{\mathbf{Y}}\) K x Q centroid matrix projected in the reduced subspace, i.e., \(\bar{\mathbf{Y}} = \bar{\mathbf{X}}\mathbf{A}\)
\(\mathbf{H}_{\mathbf{C}}\) Projector operator \(\mathbf{H}_\mathbf{C} = \mathbf{C}(\mathbf{C}'\mathbf{C})^{-1}\mathbf{C}'\) spanned by the columns of matrix \(\mathbf{C}\)
\(\mathbf{E}\) n x J Error term matrix
\(||\cdot||\) Frobenius norm

Latent variables with simple-structure loading matrix

Classical methods of PCA (Pearson 1901) or FA (Cattell 1965; Lawley and Maxwell 1962) build each latent factor from combination of all the manifest variables. As a consequence, the loading matrix, describing the relations between manifest and latent variables, is usually not immediately interpretable. Ideally, it is desirable to have variables that are associated to a single factor. This is typically called simple structure, which induces subsets of variables characterizing factors and frequently the partition of the variables. While factor rotation techniques go in this direction (especially Varimax), even if not exactly, they do not guarantee the result. Alternative solutions have been proposed. (Zou et al. 2006), by framing the PCA problem as a regression one, introducing an elastic-net penalty, aiming for a sparse solution of the loading matrix A. For the present work, we consider two techniques for this purpose: DPCA and DFA, implemented in the proposed package.

Disjoint principal component analysis

Vichi and Saporta (2009) propose an alternative solution, DPCA, which leads to the simplest possible structure on A, while still maximizing the explained variance. Such a result is obtained by building each latent factor from a subset of variables instead of allowing all the variables to contribute to all the components. This means that it provides J non-zero loadings instead of having JQ of them. To obtain this setting, variables are grouped in such a way that they form a partition of the initial set. The model can be described as a constrained PCA, where the matrix \(\mathbf{A}\) is restricted to be reparametrized into the product \(\mathbf{A}=\mathbf{BV}\). Thus, the model is described as:

\[\begin{equation} \label{dpca1} \mathbf{X} = \mathbf{X}\mathbf{A}\mathbf{A}' + \mathbf{E}= \mathbf{X}\mathbf{B}\mathbf{V}\mathbf{V}'\mathbf{B} + \mathbf{E}, \end{equation} \tag{1}\] subject to \[\begin{equation} \label{dpca2} \mathbf{V} = [v_{jq} \in \{0,1\}] \ \ \ \ \ (binarity), \end{equation} \tag{2}\]

\[\begin{equation} \label{dpca3} \mathbf{V}\mathbf{1}_{Q} = \mathbf{1}_{J} \ \ \ (row-stochasticity), \end{equation} \tag{3}\]

\[\begin{equation} \label{dpca4} \mathbf{V}'\mathbf{B}\mathbf{B}'\mathbf{V} = \mathbf{I}_{Q} \ \ \ \ \ (orthonormality), \end{equation} \tag{4}\]

\[\begin{equation} \label{dpca5} \mathbf{B} = diag(b_1, \dots, b_J) \ \ \ \ (diagonality). \end{equation} \tag{5}\] The estimation of the parameters \(\mathbf{B}\) and \(\mathbf{V}\) is carried out via least squares (LS) and, by solving the minimization problem, \[\begin{equation} \label{dpca6} RSS_{DPCA}(\mathbf{B}, \mathbf{V}) = ||\mathbf{X} - \mathbf{X}\mathbf{B}\mathbf{V}\mathbf{V}'\mathbf{B}||^2 \end{equation} \tag{6}\] subject to the the constraints ((2), (3), (4), (5)). An ALS algorithm is employed, guaranteeing at least a local optimum. In order to (at least partially) overcome this downside, multiple random starts are needed, and the best solution is retained.

Therefore, the DPCA method is subject to more structural constraints than standard PCA. Specifically, standard PCA does not enforce the reparameterization \(\mathbf{A}=\mathbf{BV}\), meaning its loading matrix \(\mathbf{A}\) is free to vary among orthonormal matrices. In contrast, DPCA still requires an orthonormal matrix \(\mathbf{A}\) but also needs that each principal component is associated with a disjoint subset of variables that most reconstruct the data. This implies that each variable contributes to only one component, resulting in a sparse and block-diagonal loading matrix. In essence, DPCA fits Q separate PCAs on the Q disjoint subsets of variables, and from each, extracts the eigenvector associated with the largest eigenvalue. In general, the total variance explained by DPCA is slightly lower, and the residual of the objective function is larger compared to PCA. This trade-off is made in exchange for the added constraint that clearly enhances interpretability. The extent of the reduction depends on the true underlying structure of the latent factors, specifically on whether they are truly uncorrelated. When the observed correlation matrix is block diagonal, with variables within blocks being highly correlated and variables between blocks being uncorrelated, DPCA can explain almost the same amount of variance of PCA, with the advantage to simplify interpretation.
It is important to note that, as DPCA is implemented, it allows for a blend of exploratory and confirmatory approaches. In the confirmatory framework, users can specify a priori which variables should collectively contribute to a factor using the constr argument, available for the last three functions in Table 2. The algorithm assigns the remaining manifest variables, for which no constraint has been specified, to the Q factors in a way that ensures the latent variables best reconstruct the manifest ones, capturing the maximum variance. This is accomplished by minimizing the loss function ((6)). Although each of the Q latent variables is derived from a different subset of variables, which involves the spectral decomposition of multiple covariance matrices, their smaller size, combined with the implementation in C++, enables very rapid execution of the routine.

A very positive side effect of the additional constraint in DPCA compared to standard PCA is the uniqueness of the solution, which eliminates the need for factor rotation in DPCA.

Disjoint factor analysis

Proposed by Vichi (2017), this technique is the model-based counterpart of the DPCA model. It pursues a similar goal in terms of building Q factors from J variables, imposing a simple structure on the loading matrix. However, the means by which the goal is pursued are different. Unlike DPCA, the estimation method adopted for DFA is Maximum Likelihood and the model requires additional statistical assumptions compared to DPCA. The model can be formulated in a matrix form as, \[\begin{equation} \label{dfa1} \mathbf{X} = \mathbf{Y}\mathbf{A}'+\mathbf{E}, \end{equation} \tag{7}\] where \(\mathbf{X}\) is centered, meaning that the mean vector \(\boldsymbol{\mu}\) has been subtracted from each multivariate unit \(\mathbf{x}_{i}\). Therefore, for a multivariate, centered, unit, the previous model can be expressed as \[\begin{equation} \label{dfa2} \mathbf{x}_i = \mathbf{A}\mathbf{y}_i + \mathbf{e}_i, \ \ i = 1, \dots, n. \end{equation} \tag{8}\] where \(\mathbf{y}_i\) is the i-th row of \(\mathbf{Y}\) and \(\mathbf{x}_i\), \(\mathbf{e}_i\) are, respectively, the \(i\)-th rows of \(\mathbf{X}\) and \(\mathbf{E}\), with a multivariate normal distribution on the \(J\)-dimensional space, \[\begin{equation} \label{FAassumptions1} \mathbf{x}_i \sim \mathcal{N}(\boldsymbol{0}, \boldsymbol{\Sigma_X}), \ \ \ \mathbf{e}_i \sim \mathcal{N}(\boldsymbol{0}, \mathbf{\Psi}) \end{equation} \tag{9}\] The covariance structure of the FA model can be written, \[\begin{equation} Cov(\mathbf{x}_i) = \mathbf{\Sigma_X} = \mathbf{AA'} + \mathbf{\Psi}, \end{equation}\] where additional, assumptions are needed, \[\begin{equation} \label{dfa4} Cov(\mathbf{y}_{i}) = \mathbf{\Sigma}_{\mathbf{Y}} = \mathbf{I}_Q, \end{equation} \tag{10}\]

\[\begin{equation} \label{dfa5} Cov(\mathbf{e}_i) = \mathbf{\Sigma}_{\mathbf{E}} = \mathbf{\Psi}, \ \ \ \mathbf{\Psi} = diag(\psi_{1},\dots,\psi_{Q} : \psi_{q}>0)' , \ \ j = 1, \dots, J \end{equation} \tag{11}\]

\[\begin{equation} Cov(\mathbf{e}_{i}, \mathbf{y}_{i}) = \mathbf{\Sigma}_{\mathbf{EY}} = 0 \label{dfa5b} \end{equation} \tag{12}\]

\[\begin{equation} \mathbf{A} = \mathbf{BV} \label{dfa6b} \end{equation} \tag{13}\] The objective function can be formulated as the maximization of the Likelihood function or as the minimization of the following discrepancy: \[\begin{align*} D_{DFA}(\mathbf{B},\mathbf{V}, \mathbf{\Psi}) & = |\text{ln}(\mathbf{B}\mathbf{V}\mathbf{V}'\mathbf{B} + \mathbf{\Psi})| - \text{ln}|\mathbf{S}| + \text{tr}((\mathbf{B}\mathbf{V}\mathbf{V}'\mathbf{B} + \mathbf{\Psi})^{-1}\mathbf{S}) - \textit{J}, \\ & \qquad j = 1, \dots, \textit{J}, \ q = 1, \dots, \textit{Q},\\ & \qquad s.t.: \mathbf{V} = [v_{jq}], \ v_{jq} \in \{0,1\}, \ \sum_q{v_{jq}} = 1, \end{align*}\] whose parameters are optimized by means of a coordinate descent algorithm.

Apart from the methodological distinctions between DPCA and DFA, the latter exhibits the scale equivariance property. The optimization of the Likelihood function implies a higher computational load, thus, a longer (compared to the DPCA) execution time.

As in the DPCA case, under the constraint \(\mathbf{A}=\mathbf{BV}\), the solution provided by the model is, also in this case, unique.

Joint clustering and variable reduction

The four clustering methods discussed all follow the \(K\)-means framework, working to partition units. However, they differ primarily in how they handle variable reduction.

Double KM (DKM) employs a symmetric approach, clustering both the units (rows) and the variables (columns) of the data matrix at the same time. This leads to the simultaneous identification of mean profiles for both dimensions. DKM is particularly suitable for data matrices where both rows and columns represent units. Examples of such matrices include document-by-term matrices used in Text Analysis, product-by-customer matrices in Marketing, and gene-by-sample matrices in Biology.

In contrast, the other three clustering methods adopt an asymmetric approach. They treat rows and columns differently, focusing on means profiles and clustering for rows, while employing components or factors for the variables (columns). These methods are more appropriate for typical units-by-variable matrices, where it’s beneficial to synthesize variables using components or factors. At the same time, they emphasize clustering and the mean profiles of the clusters specifically for the rows. The methodologies that fall into this category are RKM, FKM, and DPCAKM.

The estimation is carried out by the LS method, while the computation of the estimates is performed via ALS.

Double k-means (DKM)

Proposed by Vichi (2001), DKM is one of the first introduced bi-clustering methods that provides a simultaneous partition of the units and variables, resulting in a two-way extension of the plain KM (McQueen 1967). The model is described by the following equation, \[\begin{equation} \label{dkm1} \mathbf{X} = \mathbf{U}\bar{\mathbf{Y}}\mathbf{V}' + \mathbf{E} \end{equation} \tag{14}\] where \(\bar{\mathbf{Y}}\) is the centroid matrix in the reduced space for the rows and columns, enabling a comprehensive summarization of units and variables. By optimizing a single objective function, the DKM method captures valuable information from both dimensions of the dataset simultaneously.

This bi-clustering approach can be applied in several impactful ways. One key application is in the realm of Big Data. DKM can effectively compress expansive datasets that includes a vast number of units and variables into a compressed more manageable and robust data matrix \(\bar{\mathbf{Y}}\). This compressed matrix, formed by mean profiles both for rows and columns, can then be explored and analyzed using a variety of subsequent statistical techniques, thus facilitating efficient data handling and analysis of Big Data. The algorithm similarly to the well-known KM is very fast and converges quickly to a solution, which is at least a local minimum of the problem.

Another significant application of DKM is its capability to achieve optimal clustering for both rows and columns. This dual clustering ability is particularly advantageous in situations where it is essential to discern meaningful patterns and relationships within complex datasets, highlighting the utility of DKM in diverse fields and scenarios.

The Least Squares estimation of the parameters \(\mathbf{U}\), \(\mathbf{V}\) and \(\bar{\mathbf{Y}}\) leads to the minimization of the problem \[\begin{equation} \label{dkm2} RSS_{\textit{DKM}}(\mathbf{U}, \mathbf{V}, \bar{\mathbf{Y}}) = {||\mathbf{X} - \mathbf{U}\bar{\mathbf{Y}}\mathbf{V}'||^2}, \end{equation} \tag{15}\]

\[\begin{equation} \label{dkm3} s.t.: u_{ik} \in \{0,1\}, \ \ \sum_{k} u_{ik} = 1, \ \ i = 1 ,\dots, N, \ \ k = 1 ,\dots, K, \end{equation} \tag{16}\]

\[\begin{equation} \label{dkm4} \ \ \ \ \ \ \ v_{jq} \in \{0,1\}, \ \ \sum_{q} v_{jq} = 1, \ \ j = 1, \dots, J, \ \ q = 1, \dots, Q. \end{equation} \tag{17}\] Since \(\mathbf{\bar{Y}} = \mathbf{U}^{+}\mathbf{X}\mathbf{V}^{+'}\), then ((15)) can be framed in terms of projector operators, thus: \[\begin{equation} \label{dkm5} RSS_{\textit{DKM}}(\mathbf{U}, \mathbf{V}) = ||\mathbf{X} - \mathbf{H}_\mathbf{U}\mathbf{X}\mathbf{H}_\mathbf{V}||^2. \end{equation} \tag{18}\] Minimizing in both cases the sum of squared-residuals (or, equivalently, the within deviances associated to the K unit-clusters and Q variable-clusters). In this way, one obtains a (hard) classification of both units and variables. The optimization of (18) is done via ALS, alternating, in essence, two assignment problems for rows and columns similar to KM steps.

Reduced k-means (RKM)

Proposed by De Soete and Carroll (1994), RKM performs the reduction of the variables by projecting the J-dimensional centroid matrix into a Q-dimensional subspace (\(\textit{Q} \leq\) J), spanned by the columns of the loading matrix \(\mathbf{A}\), such that it best reconstructs \(\mathbf{X}\) by using the orthogonal projector matrix \(\mathbf{A}\mathbf{A}'\). Therefore, the model is described by the following equation, \[\begin{equation} \label{rkm1} \mathbf{X} = \mathbf{U}\bar{\mathbf{X}}\mathbf{A}\mathbf{A}' + \mathbf{E}. \end{equation} \tag{19}\] The estimation of U and A can be done via LS, minimizing the following equation, \[\begin{equation} \label{rkm2} RSS_{\textit{RKM}}(\mathbf{U}, \mathbf{A})={||\mathbf{X} - \mathbf{U}\bar{\mathbf{X}}\mathbf{A}\mathbf{A}'||^2}, \end{equation} \tag{20}\]

\[\begin{equation} \label{rkm3} s.t.: \ \ \ u_{ik} \in \{0,1\}, \ \ \sum_{k} u_{ik} = 1, \ \ \mathbf{A}'\mathbf{A} = \mathbf{I}. \end{equation} \tag{21}\] which can be optimized, once again, via ALS. In essence, the model alternates a KM step assigning each original unit \(\mathbf{x}_i\) to the closest centroid in the reduced space and a PCA step based on the spectral decomposition of \(\mathbf{X}'\mathbf{H}_\mathbf{U}\mathbf{X}\), conditioned on the results of the previous iteration. The iterations continue until when the difference between two subsequent objective functions is smaller than a small arbitrary chosen constant \(\epsilon > 0\).

Factorial k-means (FKM)

Proposed by Vichi and Kiers (2001), FKM produces a dimension reduction both of the units and centroids differently from RKM. Its goal is to reconstruct the data in the reduced subspace, \(\mathbf{Y}\), by means of the centroids in the reduced space. The FKM model can be obtained by considering the RKM model and post-multiplying the right- and left-hand side of it in equation ((19)), and rewriting the new error as \(\mathbf{E}\), \[\begin{equation} \mathbf{X}\mathbf{A} = \mathbf{U}\bar{\mathbf{X}}\mathbf{A} + \mathbf{E}. \end{equation}\] Its estimation via LS results in the optimization of the following equation, \[\begin{equation} \label{fkm1} RSS_{\textit{FKM}}(\mathbf{U}, \mathbf{A}, \bar{\mathbf{X}})={||\mathbf{X}\mathbf{A} - \mathbf{U}\bar{\mathbf{X}}\mathbf{A}||^2}, \end{equation} \tag{22}\]

\[\begin{equation} s.t.: \ \ \ u_{ik} \in \{0,1\}, \ \ \sum_{k} u_{ik} = 1, \ \ \mathbf{A}'\mathbf{A} = \mathbf{I}. \end{equation}\] Although the connection with the RKM model appears straightforward, it can be shown that the loss function of the former is always equal or smaller compared to the latter. Practically, the KM step is applied on \(\mathbf{X}\mathbf{A}\), instead of just \(\mathbf{X}\), as it happens in the DKM and RKM. In essence, FKM works better when the data and centroids are lying in the reduced subspace, and not just the centroids as in RKM.

In order to decide when RKM or FKM can be properly applied, it is important to recall that two types of residuals can be defined in dimensionality reduction: subspace residuals, lying on the subspace spanned by the columns of \(\mathbf{A}\) and complement residuals, lying on the complement of this subspace, i.e., those residual lying on the subspace spanned by the columns of \(\mathbf{A}^\perp\), with \(\mathbf{A}^\perp\) a column-wise orthonormal matrix of order \(J \times (J-Q)\) such that \(\mathbf{A}^\perp \mathbf{A}^{\perp ^\prime} = \mathbf{O}_{J-Q}\), where \(\mathbf{O}_{J-Q}\) is the matrix of zeroes of order \(Q \times (J-Q)\). FKM is more effective when there is significant residual variance in the subspace orthogonal to the clustering subspace. In other words, the complement residuals typically represent the error given by those observed variables that scarcely contribute to the clustering subspace to be identified. FKM tends to recover the subspace and clustering structure more accurately when the data contains variables with substantial variance that does not reflect the clustering structure and therefore mask it. FKM can better ignore these variables and focus on the relevant clustering subspace. On the other hand, RKM performs better when the data has significant residual variance within the clustering subspace itself. This means that when the variables within the subspace show considerable variance, RKM can more effectively capture the clustering structure.

In essence, when most of the variables in the dataset reflect the clustering structure, RKM is more likely to provide a good solution. If this is not the case, FKM may be preferred.

Disjoint principal component analysis k-means (DPCAKM)

Starting from the FKM model, the goal here, beside the partition of the units, is to have a parsimonious representation of the relationships between latent and manifest variables, provided by the loading matrix A. Vichi and Saporta (2009) propose for FKM the parametrization of A = BV, that allows the simplest structure and thus simplifies the interpretation of the factors, \[\begin{equation} \label{cdpca1} \mathbf{X} = \mathbf{U}\bar{\mathbf{X}}\mathbf{B}\mathbf{V}\mathbf{V}'\mathbf{B} + \mathbf{E}. \end{equation} \tag{23}\] By estimating \(\mathbf{U}\), \(\mathbf{B}\), \(\mathbf{V}\) and \(\bar{\mathbf{X}}\) via LS, the loss function of the proposed method becomes: \[\begin{equation} \label{cdpca2} RSS_{DPCAKM}(\mathbf{U}, \mathbf{B}, \mathbf{V}, \bar{\mathbf{X}}) = ||\mathbf{X} - \mathbf{U}\bar{\mathbf{X}}\mathbf{B}\mathbf{V}\mathbf{V}'\mathbf{B}||^2, \end{equation} \tag{24}\]

\[\begin{equation} \label{cdpca3} s.t.: u_{ik} \in \{0,1\}, \ \ \sum_{k} u_{ik} = 1, \ \ i = 1 ,\dots, N, \ \ k = 1 ,\dots, K, \end{equation} \tag{25}\]

\[\begin{equation} \label{cdpca4} \ \ \ \ \ \ \ v_{jq} \in \{0,1\}, \ \ \sum_{q} v_{jq} = 1, \ \ j = 1, \dots, J, \ \ q = 1, \dots, Q, \end{equation} \tag{26}\]

\[\begin{equation} \label{cdpca5} \ \ \ \ \ \ \ \mathbf{V}'\mathbf{B}\mathbf{B}\mathbf{V} = \mathbf{I}, \ \ \mathbf{B} = diag(b_1, \dots, b_J). \end{equation} \tag{27}\] In practice, this model has traits of the DPCA given the projection on the reduced subspace and the partitioning of the units, resulting in a sparse loading matrix, but also of the DKM, given the presence of both U and V. Thus, DPCAKM can be considered a bi-clustering methodology with an asymmetric treatment of the rows and columns of X. By inheriting the constraint on A, the overall fit of the model compared with the FKM for example, is generally worse although it offers an easier interpretation of the principal components. Nevertheless, it is potentially able to identify a better partition of the units. Like in the DPCA case, the difference is negligible when the true latent variables are really disjoint. As implemented, the assignment step is carried out by minimizing the unit-centroid squared-Euclidean distance in the reduced subspace.

3 The package

The library offers the implementation of all the models mentioned in the previous section. Each one of them corresponds to a specific function implemented using Rcpp (Eddelbuettel and Francois 2011) and RcppArmadillo (Eddelbuettel and Sanderson 2014).

Table 2: Statistical methods available in the drclust package
Function Model Previous
Implementations
Main differences
in drclust
doublekm DKM
(Vichi 2001)
None Short runtime (C++);
redkm RKM
(De Soete and Carroll 1994)
in clusterd;
Mixed variables;
>50x faster (C++);
Continuous variables;
factkm FKM
(Vichi and Kiers 2001)
in clustrd;
Mixed variables
>20x faster (C++);
Continuous variables;
Better fit and classification;
dpcakm DPCAKM
(Vichi and Saporta 2009)
in biplotbootGUI;
Continuous variables;
SDP-based initialization of parameters;
>10x faster (C++);
Constraint on variable allocation within principal components;
dispca DPCA
(Vichi and Saporta 2009)
None Short runtime (C++);
Constraint on variable allocation within principal components;
disfa DFA
(Vichi 2017)
None Short runtime (C++);
Constraint on variable allocation within factors;

Some additional functions have been made available for the user. Most of them are intended to aid the user in evaluating the quality of the results, or in the choice of the hyper-parameters.

Table 3: Auxiliary functions available in the library
Function Technique Description Goal
apseudoF "relaxed" pseudoF "Relaxed" version of Caliński and Harabasz (1974). Selects the second largest pseudoF value if the difference with the first is less than a fraction. Parameter tuning
dpseudoF DKM-pseudoF Adaptation of the pseudoF criterion proposed by Rocci and Vichi (2008) to bi-clustering. Parameter tuning
kaiserCrit Kaiser criterion Kaiser rule for selecting the number of principal components (Kaiser 1960). Parameter tuning
centree Dendrogram of the centroids Graphical tool showing how close the centroids of a partition are. Visualization
silhouette Silhouette Imported from cluster (Maechler et al. 2023) and factoextra (Kassambara 2022). Visualization, parameter tuning
heatm Heatmap Heatmap of distance-ordered units within distance-ordered clusters, adapted from pheatmap (Kolde 2019). Visualization
CronbachAlpha Cronbach Alpha Index Proposed by Cronbach (1951). Assesses the unidimensionality of a dataset. Assessment
mrand ARI Assesses clustering quality based on the confusion matrix (Rand 1971). Assessment
cluster Membership vector Returns a multinomial 1 × n membership vector from a binary, row-stochastic n × K membership matrix; mimics kmeans$cluster. Encoding

With regard to the auxiliary functions (Table 3), they have all been implemented in the R language, building on top of packages already available on CRAN, such as cluster by (Maechler et al. 2023), factoextra by (Kassambara 2022), pheatmap by (Kolde 2019), which allowed for an easier implementation. One of the main goals of the proposed package, besides spreading the availability and usability of the statistical methods considered, is the speed of computation. By doing so (if the memory is sufficient), the results, also for large data matrices, can be obtained in a reasonable amount of time. A first mean adopted to pursue such a goal is the full implementation of the statistical methods in the C++ language. The libraries used are Rcpp (Eddelbuettel and Francois 2011) and RcppArmadillo (Eddelbuettel and Sanderson 2014), which significantly reduced the required runtime.

A practical issue that happens very often in crisp (hard) clustering, such as KM, is the presence of empty clusters after the assignment step. When this happens, a column of \(\mathbf{U}\) has all elements equal to zero, which can be proved to be a local minimum solution, and impedes obtaining a solution for \((\mathbf{U}'\mathbf{U})^{-1}\). This typically happens even more often when the number of clusters K specified by the user is larger than the true one or in the case of a sub-optimal solution. Among the possible solutions addressing this issue, the one implemented here consists in splitting the cluster with higher within-deviance. In practice, a KM with \(\textit{K} = 2\) is applied to it, assigning to the empty cluster one of the two clusters obtained by the procedure, which is iterated until all the empty clusters are filled. Such a strategy guarantees that the monotonicity of the ALS algorithm is preserved, although it is the most time-consuming one.

Among all the six implementations of the statistical techniques, there are some arguments that are set to a default value. Table 4 describes all the arguments that have a default value. In particular, print, which displays a descriptive summary of the results, is set to zero (so the user should explicitly require to the function such output). Rndstart is set as default to 20, so that the algorithm is run 20 times until convergence. In order to have more confidence (not certainty) that the obtained solution is a global optimum, a higher value for this argument can be provided. With particular regard to redkm and factkm, the argument rot, which performs a Varimax rotation on the loading matrix, is set by default to 0. If the user would like to have this performed, it must be set equal to 1. Finally, the constr argument, which is available for dpcakm and dispca, is set by default to a vector (of length J) of zeros, so that each variable is selected to contribute to the most appropriate latent variable, according to the logic of the model.

Table 4: Arguments accepted by functions in the drclust package with default values
Argument Used In Description Default Value
Rndstart doublekm, redkm, factkm, dpcakm, dispca, disfa Number of times the model is run until convergence. 20
verbose doublekm, redkm, factkm, dpcakm, dispca, disfa Outputs basic summary statistics regarding each random start (1 = enabled; 0 = disabled). 0
maxiter doublekm, redkm, factkm, dpcakm, dispca, disfa Maximum number of iterations allowed for each random start (if convergence is not yet reached) 100
tol doublekm, redkm, factkm, dpcakm, dispca, disfa Tolerance threshold (maximum difference between the values of the objective function of two consecutive iterations such that convergence is assumed \(10^{-6}\)
tol apseudoF Approximation value. It is half of the length of the interval put for each pF value. 0 <= tol < 1 0.05
rot redkm, factkm performs varimax rotation of axes obtained via PCA (0 = False; 1 = True) 0
prep doublekm, redkm, factkm, dpcakm, dispca, disfa Pre-processing of the data. 1 performs the z-score transform; 2 performs the min-max transform; 0 leaves the data un-pre-processed 1
print doublekm, redkm, factkm, dpcakm, dispca, disfa Final summary statistics of the performed method (1 = enabled; 0 = disabled). 0
constr dpcakm, dispca, disfa Vector of length \(J\) (number of variables) specifying variable-to-cluster assignments. Each element can be an integer from 0 to \(Q\) (number of variable-clusters or components), indicating a fixed assignment, or 0 to leave the variable unconstrained (i.e., assigned by the algorithm). rep(0,J)

By offering a fast execution time, all the implemented models allow to run multiple random starts of the algorithm in a reasonable amount of time. This feature comes particularly useful given the absence of guarantees of global optima for the ALS algorithm, which has an ad-hoc implementation for all the models. Table 5 shows that, compared to the two packages which implement 3 of the 6 models in drclust, our proposal is much faster than the corresponding versions implemented in R (Table 5), providing, nevertheless, compelling results.

The iris dataset has been used in order to measure the performance in terms of fit, runtime, and ARI (Rand 1971). The z-transform has been applied on all the variables of the dataset. This implies that all the variables, post-transformation, have mean equal to 0 and variance equal to 1, by subtracting the mean to each variable and dividing the result by the standard deviation. The same result is typically obtained by the scale(X) R function.

\[\begin{equation} \label{eq:ztransform} \mathbf{Z}_{\cdot j} = \frac{\mathbf{X}_{\cdot j} - \mu_j \mathbf{1_\textit{n}}}{\sigma_j} \end{equation} \tag{28}\] where \(\mu_j\) is the mean of the j-th variable and \(\sigma_\textit{j}\) its standard deviation. The subscript .j refers to the whole j-th column of the matrix. This operation avoids the measurement scale to have impact on the final result (and is used by default, unless otherwise specified by the user, within all the techniques implemented by drclust. In order to avoid the comparison between potentially different objective functions, the between deviance (intended as described by the authors in the articles where the methods have been proposed) has been used as a fit measure and computed based on the output provided by the functions, aiming at having homogeneity in the evaluation metric. K=3 and Q=2 have been used for the clustering algorithms, maintaining, for the two-dimensionality reduction techniques, just Q = 2.

For each method, 100 runs have been performed and the best solution has been picked. For each run, the maximum allowed number of iterations = 100, with a tolerance error (i.e., precision) equal to \(10^{-6}\).

Table 5: Performance of the variable reduction and joint clustering-variable reduction models
Library Technique Runtime Fit ARI Fit Measure
clustrd RKM 0.73 21.38 0.620 \(||\mathbf{U}\bar{\mathbf{Y}}\mathbf{A}'||^2\)
drclust RKM 0.01 21.78 0.620 \(||\mathbf{U}\bar{\mathbf{Y}}\mathbf{A}'||^2\)
clustrd FKM 1.89 4.48 0.098 \(||\mathbf{U}\bar{\mathbf{Y}}||^2\)
drclust FKM 0.03 21.89 0.620 \(||\mathbf{U}\bar{\mathbf{Y}}||^2\)
biplotbootGUI CDPCA 2.83 21.32 0.676 \(||\mathbf{U}\bar{\mathbf{Y}}\mathbf{A}'||^2\)
drclust CDPCA 0.05 21.34 0.676 \(||\mathbf{U}\bar{\mathbf{Y}}\mathbf{A}'||^2\)
drclust DKM 0.03 21.29 0.652 \(||\mathbf{U}\bar{\mathbf{X}}\mathbf{H_V}||^2\)
drclust DPCA <0.01 23.70 - \(||\mathbf{Y}\mathbf{A}'||^2\)
drclust DFA 1.11 55.91 - \(||\mathbf{Y}\mathbf{A}'||^2\)

The results of table 5 are visually represented in figure 1.

ARI, Fit, Runtime for the available implementations

Figure 1: ARI, Fit, Runtime for the available implementations

Although the runtime heavily depends on the hardware characteristics, they have been reported within Table 5 for a relative comparison purpose only, having run all the techniques with the same one hardware. For all the computations within the present work, the specifics of the machine used are: Intel(R) Core(TM) i7-8550U CPU @ 1.80GHz 2.00 GHz.

Besides the already mentioned difference between DPCA and DFA, it is worth mentioning that, in terms of implementation, they retrieve the latent variables differently. Indeed, while the DPCA relies on the eigendecomposition, the DFA uses an implementation of the power method (Hotelling 1933).

In essence, the implementation of our proposal, while being very fast, exhibits a goodness of fit very close (sometimes better, compared) to the available alternatives.

4 Simulation study

To better understand the capabilities of the proposed methodologies and evaluate the performance of the drclust package, a simulation study was conducted. In this study, we assume that the number of clusters (K) and the number of factors (Q) are known, and we examine how results vary across the DKM, RKM, FKM, and DPCAKM methods.

Data generation process

The performance of these algorithms is tested on synthetic data generated through a specific procedure. Initially, centroids are created using eigendecomposition on a transformed distance matrix, resulting in three equidistant centroids in a reduced two-dimensional space. To model the variances and covariances among the generated units within each cluster and to introduce heterogeneity among the units, a variance-covariance matrix (\(\Sigma_O\)) is derived from samples taken from a zero-mean Gaussian distribution, with a specified standard deviation (\(\sigma_u\)).

Membership for the 1,000 units is determined based on a (K × 1) vector of prior probabilities, utilizing a multinomial distribution with (0.2, 0.3, 0.5) probabilities. For each unit, a sample is drawn from a multivariate Gaussian distribution centered around its corresponding centroid, using the previously generated covariance matrix (\(\Sigma_O\)). Additionally, four masking variables, which do not exhibit any clustering structure, are generated from a zero-mean multivariate Gaussian and scaled by a standard deviation of \(\sigma\)=6. These masking variables are added to the 2 variables that form the clustering structure of the dataset. Then, the final sample dataset is standardized.

It is important to note that the standard deviation \(\sigma_u\) controls the amount of variance in the reduced space, thus influencing the level of subspace residuals. Conversely, \(\sigma_m\) regulates the variance of the masking variables, impacting the complement residuals.

This study considers various scenarios where there are \(J\) = 6 variables, \(n\) = 1,000 units, \(K\) = 3 clusters and \(Q\) = 2 factors. We explore high, medium, and low variance \(\sigma_u\) of the heterogeneity within clusters with values of 0.8, 0.55, and 0.3. For each combination of these parameters, \(s\)=100 samples are generated. Since the design is fully crossed, a total of 300 datasets are produced. Examples of the generated samples are illustrated in Figure 2, which shows that as the level of within-cluster variance increases, the variables with a clustering structure tend to create overlapping clusters. It is worthy to inform that the two techniques dedicated solely to variable reduction, namely DPCA and DFA, were not included in the simulation study. This is because the study’s primary focus is on clustering and dimension reduction and the comparison with competing implementations. However, it is worth noting that these methods are inherently quick, as can be observed from the speed of methodologies that combine clustering with DPCA or DFA dimension reduction methods.

Performance evaluation

The performance of the proposed methods was assessed through a simulation study. To evaluate the accuracy in recovering the true cluster membership of the units (U), the ARI (Hubert and Arabie 1985) was employed. The ARI quantifies the similarity between the hard partitions generated by the estimated classification matrices and those defined by the true partition. It considers both the reference partition and the one produced by the algorithm under evaluation. The ARI typically ranges from 0 to 1, where 0 indicates a level of agreement expected by random chance, and 1 denotes a perfect match. Negative values may also occur, indicating agreement worse than what would be expected by chance. In order to assess the models’ ability to reconstruct the underlying data structure, the between deviance, denoted by \(f\)—, was computed. This measure is defined in the original works proposing the evaluated methods and is reported in the second column (Fit Measure) of Table 6. For comparison, the true between deviance \(f^{*}\), calculated from the known true, known, values of U and A, was also computed. The difference \(f - f^{*}\) was considered, where negative values suggest potential overfitting. Furthermore, the squared Frobenius norm \(||\mathbf{A}^* - \mathbf{A}||^2\) was computed to assess how accurately each model estimated the true loading matrix \(\mathbf{A}^*\). This evaluation was not applicable to the DKM method, as it does not provide estimates of the loading matrix. For each performance metric presented in Table 6, the median value across \(s\) = 100 replicates, for each level of error (within deviance), is reported.

It is important to note that fit and ARI reflect distinct objectives. While fit measures the variance explained by the model, the ARI assesses clustering accuracy. As such, the two metrics may diverge. A model may achieve high fit by capturing subtle variation or even noise, which may not correspond to well-separated clusters, leading to a lower ARI. Conversely, a method focused on maximizing cluster separation may yield high ARI while explaining less overall variance. This trade-off is particularly relevant in unsupervised settings, where there is no external supervision to guide the balance between reconstruction and partitioning. For this reason, we report both metrics to provide a more comprehensive assessment of model performance.

Algorithms performances and comparison with the competing implementations

For each sample, the algorithms DKM, RKM, FKM, and DPCAKM are applied using 100 random start solutions, selecting the best one. This significantly reduces the impact of local minima in the clustering and dimension reduction process. Figure 2 depicts the typical situation for each scenario (low, medium, high within-cluster variance).

Within-cluster variance of the simulated data (in order: low, medium, high)

Figure 2: Within-cluster variance of the simulated data (in order: low, medium, high)

Table 6: Comparison of joint clustering-variable reduction methods on simulated data
Technique Fit Measure Library Runtime (s) Fit ARI \(f^* - f\) \(||\mathbf{A}^* - \mathbf{A}||^2\)
Low
RKM \(||\mathbf{U}\bar{\mathbf{X}}\mathbf{A}\mathbf{A}'||^2\) clustrd 164.03 42.76 1.00 0.00 2.00
RKM \(||\mathbf{U}\bar{\mathbf{X}}\mathbf{A}\mathbf{A}'||^2\) drclust 0.48 42.76 1.00 0.00 2.00
FKM \(||\mathbf{U}\bar{\mathbf{X}}\mathbf{A}||^2\) clustrd 15.48 2.89 0.35 39.77 1.99
FKM \(||\mathbf{U}\bar{\mathbf{X}}\mathbf{A}||^2\) drclust 0.52 42.76 1.00 0.00 2.00
DPCAKM \(||\mathbf{U}\bar{\mathbf{X}}\mathbf{A}||^2\) biplotbootGUI 41.70 42.74 1.00 0.01 2.00
DPCAKM \(||\mathbf{U}\bar{\mathbf{X}}\mathbf{A}||^2\) drclust 1.37 42.74 1.00 0.01 2.00
DKM \(||\mathbf{U}\bar{\mathbf{X}}\mathbf{V}||^2\) drclust 0.78 61.55 0.46 -18.94 -
Medium
RKM \(||\mathbf{U}\bar{\mathbf{X}}\mathbf{A}\mathbf{A}'||^2\) clustrd 230.31 39.18 0.92 -0.27 2.00
RKM \(||\mathbf{U}\bar{\mathbf{X}}\mathbf{A}\mathbf{A}'||^2\) drclust 0.70 39.18 0.92 -0.27 2.00
FKM \(||\mathbf{U}\bar{\mathbf{X}}\mathbf{A}||^2\) clustrd 14.31 2.85 0.28 36.09 1.99
FKM \(||\mathbf{U}\bar{\mathbf{X}}\mathbf{A}||^2\) drclust 0.76 39.18 0.92 -0.27 2
DPCAKM \(||\mathbf{U}\bar{\mathbf{X}}\mathbf{A}||^2\) biplotbootGUI 47.76 39.15 0.92 -0.25 2.00
DPCAKM \(||\mathbf{U}\bar{\mathbf{X}}\mathbf{A}||^2\) drclust 1.64 39.15 0.92 -0.25 2.00
DKM \(||\mathbf{U}\bar{\mathbf{Y}}\mathbf{V}||^2\) drclust 0.81 5.93 0.39 -21.00 -
High
RKM \(||\mathbf{U}\bar{\mathbf{X}}\mathbf{A}\mathbf{A}'||^2\) clustrd 314.89 36.61 0.62 -2.11 2.00
RKM \(||\mathbf{U}\bar{\mathbf{X}}\mathbf{A}\mathbf{A}'||^2\) drclust 0.94 36.61 0.61 -2.11 2.00
FKM \(||\mathbf{U}\bar{\mathbf{X}}\mathbf{A}||^2\) clustrd 13.87 2.90 0.19 31.55 2.00
FKM \(||\mathbf{U}\bar{\mathbf{X}}\mathbf{A}||^2\) drclust 1.02 36.61 0.61 -2.11 2.00
DPCAKM \(||\mathbf{U}\bar{\mathbf{X}}\mathbf{A}||^2\) biplotbootGUI 55.49 36.53 0.64 -1.99 2.00
DPCAKM \(||\mathbf{U}\bar{\mathbf{X}}\mathbf{A}||^2\) drclust 2.06 36.53 0.63 -2.01 2.00
DKM \(||\mathbf{U}\bar{\mathbf{X}}\mathbf{V}||^2\) drclust 0.84 58.97 0.29 -24.37 -

For the three scenarios, the results are reported in 6.

Boxplots of the Fit results in Table \@ref(tab:T6)

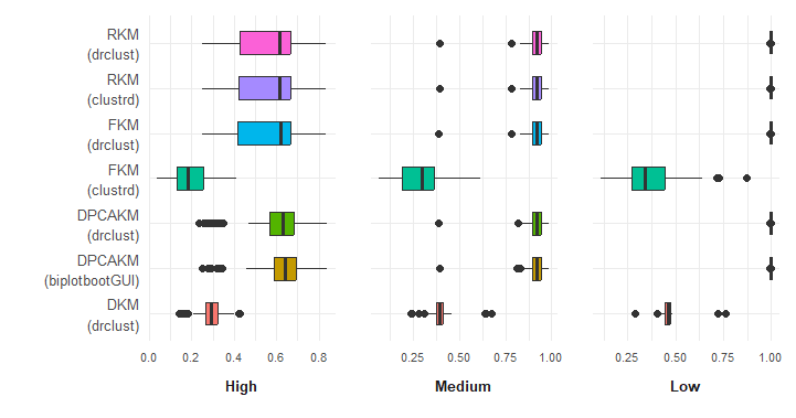
Figure 3: Boxplots of the Fit results in Table 6

Boxplots of the ARI results in Table \@ref(tab:T6)

Figure 4: Boxplots of the ARI results in Table 6

Boxplots of the $f^* - f$ results in Table \@ref(tab:T6)

Figure 5: Boxplots of the \(f^* - f\) results in Table 6

Boxplots of the $||\mathbf{A} - \mathbf{A}^*||^2$ metric results in Table \@ref(tab:T6)

Figure 6: Boxplots of the \(||\mathbf{A} - \mathbf{A}^*||^2\) metric results in Table 6

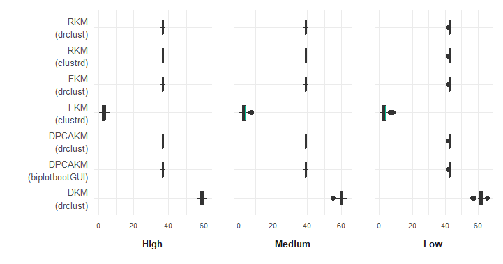
Boxplots of the runtime results in Table \@ref(tab:T6), for the RKM

Figure 7: Boxplots of the runtime results in Table 6, for the RKM

Boxplots of the runtime metric results in Table \@ref(tab:T6), for DKM, DPCAKM, FKM

Figure 8: Boxplots of the runtime metric results in Table 6, for DKM, DPCAKM, FKM

Regarding the RKM, the drclust and clustrd performance is very close, both in terms of the ability to recover the data (fit) and in terms of identifying the true classification of the objects.

The FKM appears to be performing way better in the drclust case in terms of fit and ARI. Considering both ARI and fit for the CDPCA algorithm, the difference between the present proposal and the one of biplotbootGUI is almost absent. Referring to the CPU runtime, all of the models proposed are significantly faster compared to the previously available ones (RKM, FKM and KM with DPCA). For the architecture used for the experiments, the order of magnitude for such differences are specified in the last column of Table 2.

In general, the drclust shows a slight overfit, while there is no evident difference in the ability to recover the true A. There is no alternative implementation for the DKM, so no comparison can be made. However, except for the ARI which is lower than the other techniques, its fit is very close, showing a compelling ability to reconstruct the data. In general, except for the FKM, where our proposal outperforms the one in clustrd, our proposal is equivalent in terms of fit and ARI. However, our versions outperform every alternative in terms of runtime. Figures (3 - 8) visually depict the situation in 6, showing also the variability for each scenario, among 100 replicates. In general, with the exception of the FKM method, where our proposed approach outperforms the implementation available in clustrd, the methods are comparable in terms of both fit and ARI. Nevertheless, our implementations consistently outperform all alternatives in terms of runtime.

Figure (3 - 8) provide a visual summary of the results reported in Table 6, illustrating not only the central tendencies but also the variability across the 100 simulation replicates for each scenario.

5 Application on real data

The six statistical models implemented (Table 2) have a binary argument print which, if set to one, displays at the end of the execution the main statistics. In the following examples, such results are shown, using as dataset the same used by Vichi and Kiers (2001) and made available in clustrd (Markos et al. 2019) and named macro, which has been standardized by setting the argument prep=1, which is done by default by all the techniques. Moreover, the commands reported in each example do not specify all the arguments available for the function, for which the default values have been kept.

The first example refers to the DKM (Vichi 2001). As shown, the output contains the fit expressed as the percentage of the total deviance (i.e., \(||\mathbf{X}||^2\)) captured by the between deviance of the model, implementing the fit measures in (Table 5). The second output is the centroid matrix \(\bar{\mathbf{Y}}\), which describes the K centroids in the Q-dimensional space induced by the partition of the variables and its related variable-means. What follows are the sizes and within deviances of each unit cluster and each variable cluster. Finally, it shows the pseudoF (Caliński and Harabasz 1974) index, which is always computed for the partition of the units. Please note that the data matrix provided to each function implemented in the package needs to be in matrix format.

# Macro dataset (Vichi & Kiers, 2001)
library(clustrd)
data(macro)
macro <- as.matrix(macro)
# DKM
> dkm <- doublekm(X = macro, K = 5, Q = 3, print = 1)

>> Variance Explained by the DKM (% BSS / TSS):  44.1039

>> Centroid Matrix (Unit-centroids x Variable-centroids):

           V-Clust 1   V-Clust 2  V-Clust 3
U-Clust 1  0.1282052 -0.31086968 -0.4224182
U-Clust 2  0.0406931 -0.08362029  0.9046692
U-Clust 3  1.4321347  0.51191282 -0.7813761
U-Clust 4 -0.9372541  0.22627768  0.1175189
U-Clust 5  1.2221058 -2.59078258 -0.1660691

>> Unit-clusters: 

         U-Clust 1 U-Clust 2 U-Clust 3 U-Clust 4 U-Clust 5
Size     8         4         4         3         1 
Deviance 23.934373 31.737865 5.878199  4.844466  0.680442 
         


>> Variable-clusters: 
 
         V-Clust 1 V-Clust 2 V-Clust 3
Size     3         2         1        
Deviance 40.832173 23.024249 3.218923 

>> pseudoF Statistic (Calinski-Harabasz): 2.23941

The second example shows as output the main quantities computed for the redkm (De Soete and Carroll 1994). Differently from the DKM where the variable reduction is operated via averages, the RKM does this via PCA leading to a better overall fit altering also the final unit-partition, as observable from the sizes or deviances.

Additionally from the DKM example, the RKM also provides the loading matrix which projects the J-dimensional centroids in the Q-dimensional subspace. Another important difference is the summary of the latent factors: this table shows the information captured by the principal components with respect to the original data. In this sense, the output allows to distinguish between the loss due to the variable reduction (accounted in this table) and the overall loss of the algorithm (which accounts for the loss in the reduction of the units and the one due to the reduction of the variables, reported in the first line of the output).

# RKM
> rkm <- redkm(X = macro, K = 5, Q = 3, print = 1)

>> Variance Explained by the RKM (% BSS / TSS): 55.0935

>> Matrix of Centroids (Unit-centroids x Principal Components):

              PC 1       PC 2       PC 3
Clust 1 -1.3372534 -1.1457414 -0.6150841
Clust 2  1.8834878 -0.0853912 -0.8907303
Clust 3  0.5759906  0.4187003  0.3739608
Clust 4 -0.9538864  1.2392976  0.3454186
Clust 5  1.0417952 -2.2197178  3.0414445

>> Unit-clusters: 
         Clust 1   Clust 2  Clust 3   Clust 4  Clust 5 
Size     5         5        5         4        1       
Deviance 26.204374 9.921313 11.231563 6.112386 0.418161

>> Loading Matrix (Manifest Variables x Latent Variables):
 
          PC 1        PC 2        PC 3
GDP -0.5144915 -0.04436269  0.08985135
LI  -0.2346937 -0.01773811 -0.86115069
UR  -0.3529363  0.53044730  0.28002534
IR  -0.4065339 -0.42022401 -0.17016203
TB   0.1975072  0.69145440 -0.36710245
NNS  0.5927684 -0.24828525 -0.09062404

>> Summary of the latent factors:

     Explained Variance Expl. Var. (%) Cumulated Var. Cum. Var (%)
PC 1 1.699343           28.322378      1.699343       28.322378   
PC 2 1.39612            23.268663      3.095462       51.591041   
PC 3 1.182372           19.706208      4.277835       71.297249   

>> pseudoF Statistic (Calinski-Harabasz): 4.29923

The factkm (Vichi and Kiers 2001) has the same output structure of the redkm. It exhibits, for the same data and hyperparameters, a similar fit (overall and variable-wise). However, the unit-partition, as well as the latent variables are different. This difference can be (at least) partially justified by the difference in the objective function, which is most evident in the assignment step.

# factorial KM
> fkm <- factkm(X = macro, K = 5, Q = 3, print = 1, rot = 1)

>> Variance Explained by the FKM (% BSS / TSS): 55.7048

>> Matrix of Centroids (Unit-centroids x Principal Components):

              PC 1        PC 2        PC 3
Clust 1 -0.7614810  2.16045496 -1.21025666
Clust 2  1.1707159 -0.08840133 -0.29876729
Clust 3 -0.9602731 -1.33141866  0.02370092
Clust 4  1.0782934  1.17952330  3.59632116
Clust 5 -1.7634699  0.65075735  0.46486440

>> Unit-clusters: 
         Clust 1  Clust 2  Clust 3  Clust 4  Clust 5
Size     9        5        3        2        1      
Deviance 6.390576 2.827047 5.018935 3.215995 0      

>> Loading Matrix (Manifest Variables x Latent Variables):
 
          PC 1       PC 2        PC 3
GDP -0.6515084 -0.1780021  0.37482509
LI  -0.3164139  0.1809559 -0.68284917
UR  -0.2944864 -0.5235492  0.01561022
IR  -0.3316254  0.5884434 -0.22101070
TB   0.1848264 -0.5367239 -0.57166730
NNS  0.4945307  0.1647067  0.13164438

>> Summary of the latent factors:

     Explained Variance Expl. Var. (%) Cumulated Var. Cum. Var (%)
PC 1 1.68496            28.082675      1.68496        28.082675   
PC 2 1.450395           24.173243      3.135355       52.255917   
PC 3 1.079558           17.992635      4.214913       70.248552   

>> pseudoF Statistic (Calinski-Harabasz): 4.26936

dpcakm (Vichi and Saporta 2009) shows the same output as RKM and FKM. The partition of the variables, described by the \(\mathbf{V}\) term in ((26)) - ((27)), is readable within the loading matrix, considering a \(1\) for each non-zero value. For the iris dataset, the additional constraint \(\mathbf{A} = \mathbf{B}\mathbf{V}\) does not cause a significant decrease in the objective function. The clusters, however, differ from the previous cases as well.

# K-means DPCA
> cdpca <- dpcakm(X = macro, K = 5, Q = 3, print = 1)

>> Variance Explained by the DPCAKM (% BSS / TSS): 54.468

>> Matrix of Centroids (Unit-centroids x Principal Components):

              PC 1        PC 2       PC 3
Clust 1  0.6717536  0.01042978 -2.7309458
Clust 2  3.7343724 -1.18771685  0.6320673
Clust 3 -0.6729575 -1.80822745  0.7239541
Clust 4 -0.2496002  1.54537904  0.5263009
Clust 5 -0.1269212 -0.12464388 -0.1748282

>> Unit-clusters: 
         Clust 1  Clust 2  Clust 3 Clust 4 Clust 5
Size     7        6        4       2       1      
Deviance 3.816917 2.369948 1.14249 4.90759 0      

>> Loading Matrix (Manifest Variables x Latent Variables):
 
          PC 1      PC 2 PC 3
GDP  0.5567605 0.0000000    0
LI   0.0000000 0.7071068    0
UR   0.5711396 0.0000000    0
IR   0.0000000 0.0000000    1
TB   0.0000000 0.7071068    0
NNS -0.6031727 0.0000000    0

>> Summary of the latent factors:
     Explained Variance Expl. Var. (%) Cumulated Var. Cum. Var (%)
PC 1 1                  16.666667      1              16.666667   
PC 2 1.703964           28.399406      2.703964       45.066073   
PC 3 1.175965           19.599421      3.87993        64.665494   

>> pseudoF Statistic (Calinski-Harabasz): 3.26423

For the dispca (Vichi and Saporta 2009), the output is mostly similar (except for the part of unit-clustering) to the ones already shown. Nevertheless, because the focus here is exclusively on the variable reduction process, some additional information is reported in the summary of the latent factors. Indeed, because a single principal component summarises a subset of manifest variables, the variance of the second component related to each of the subsets, along with the Cronbach (1951) Alpha index is computed, in order for the user to know when the evidence supports such strategy of dimensionality reduction. As mentioned, this function, like in the DPCAKM case, as well as the DFA case, it allows to constrain a subset of the J variables to belong to the same cluster. In the example that follows, the first two manifest variables are constrained to contribute to the same principal component (which is confirmed by the output A). Note that the manifest variables that have indices (colum-position in the data matrix) in correspondence of the zeros in constr remain unconstrained.

# DPCA
# Impose GDP and LI to be in the same cluster
> out <- dispca(X = macro, Q = 3, print = 1, constr = c(1,1,0,0,0,0))

>> Variance explained by the DPCA (% BSS / TSS)= 63.9645

>> Loading Matrix (Manifest Variables x Latent variables) 

          PC 1       PC 2      PC 3
GDP  0.0000000  0.0000000 0.7071068
LI   0.0000000  0.0000000 0.7071068
UR  -0.7071068  0.0000000 0.0000000
IR   0.0000000 -0.7071068 0.0000000
TB   0.0000000  0.7071068 0.0000000
NNS  0.7071068  0.0000000 0.0000000

>> Summary of the latent factors:
     Explained Variance Expl. Var. (%) Cumulated Var.
PC 1           1.388294       23.13824       1.388294
PC 2           1.364232       22.73721       2.752527
PC 3           1.085341       18.08902       3.837868
     Cum. Var (%) Var. 2nd component Cronbach's Alpha
PC 1     23.13824          0.6117058        -1.269545
PC 2     45.87544          0.6357675        -1.145804
PC 3     63.96447          0.9146585         0.157262

The disfa (Vichi 2017), by assuming a probabilistic underlying model, allows additional evaluation metrics and statistics as well. The overall objective function is not directly comparable with the other ones, and is expressed in absolute (not relative, like in the previous cases) terms. The \(\chi^2\) (X2), along with BIC, AIC and RMSEA allow a robust evaluation of the results in terms of fit/parsimony. Additionally to the DPCA case, for each variable, the function displays the commonality with the factors, providing a standard error, as well as an associated p-value for the estimate.

It is possible to assess by comparing the loading matrix in the DPCA case with the DFA one, the similarity in terms of latent variables. Part of the difference can be justified (besides the well-known distinctions between PCA and FA) with the method used to compute each factor. While in all the previous cases, the eigendecomposition has been employed for this purpose, the DFA makes use of the power iteration method for the computation of the loading matrix (Hotelling 1933).

# disjoint FA
> out <- disfa(X = macro, Q = 3, print = 1)
>> Discrepancy of DFA: 0.296499

>> Summary statistics:

  Unknown Parameters Chi-square Degrees of Freedom BIC       
  9                  4.447531   12                 174.048102
  AIC        RMSEA   
  165.086511 0.157189

>> Loading Matrix (Manifest Variables x Latent Variables) 

      Factor 1 Factor 2   Factor 3
GDP  0.5318618        0  0.0000000
LI   0.0000000        1  0.0000000
UR   0.5668542        0  0.0000000
IR   0.0000000        0  0.6035160
TB   0.0000000        0 -0.6035152
NNS -0.6849942        0  0.0000000

>> Summary of the latent factors:

         Explained Variance Expl. Var. (%) Cum. Var Cum. Var (%)
Factor 1          1.0734177       17.89029 1.073418     17.89029
Factor 2          1.0000000       16.66667 2.073418     34.55696
Factor 3          0.7284622       12.14104 2.801880     46.69800
         Var. 2nd component Cronbach's Alpha
Factor 1          0.7001954       -0.6451803
Factor 2          0.0000000        1.0000000
Factor 3          0.6357675       -1.1458039

>> Detailed Manifest-variable - Latent-factor relationships

    Associated Factor Corr. Coeff. Std. Error    Pr(p>|Z|)
GDP                 1    0.5318618  0.1893572 0.0157923335
LI                  2    1.0000000  0.0000000 0.0000000000
UR                  1    0.5668542  0.1842113 0.0091557523
IR                  3    0.6035160  0.1782931 0.0048411219
TB                  3   -0.6035152  0.1782932 0.0048411997
NNS                 1   -0.6849942  0.1629084 0.0008606488
    Var. Error Communality
GDP  0.7171230   0.2828770
LI   0.0000000   1.0000000
UR   0.6786764   0.3213236
IR   0.6357684   0.3642316
TB   0.6357695   0.3642305
NNS  0.5307830   0.4692170

In practice, usually the K and Q hyper-parameters are not known a priori. In such case, a possible tool that allows to investigate plausible values for Q is the Kaiser criterion (Kaiser 1960), in R, kaiserCrit), takes as a single argument the dataset and outputs a message, as well as a scalar output indicating the number of the optimal components based on this rule.

# Kaiser criterion for the choice of Q, the number of latent components
> kaiserCrit(X = macro)

The number of components suggested by the Kaiser criterion is:  3 

For selecting the number of clusters, K, one of the most commonly used indices is the pseudoF statistic, which, however, tends to underestimate the optimal number of clusters. To address this limitation, a "relaxed" version, referred to as apseudoF, has been implemented. The apseudoF procedure computes the standard pseudoF index over a range of possible values up to maxK. If a higher value of K yields a pseudoF that is less than tol \(\cdot\) pseudoF (compared to the maximum value suggested by the plain pseudoF), then apseudoF selects this alternative K as the optimal number of clusters. Additionally, it generates a plot of the pseudoF values computed across the specified K range. Given the hybrid nature of the proposed methods, the function also requires specifying the clustering model to be used: 1 = doublekm, 2 = redkm, 3 = factkm, 4 = dpcakm. Furthermore, the number of components, Q, must be provided, as it also influences the final quality of the resulting partition.

> apseudoF(X = macro, maxK=10, tol = 0.05, model = 2, Q = 3)
The optimal number of clusters based on the pseudoF criterion is: 5
Interval-pseudoF polygonal chain

Figure 9: Interval-pseudoF polygonal chain

While this index has been thought for one-mode clustering methods, (Rocci and Vichi 2008) extended it for two-mode clustering methods, allowing to apply it for methods like the doublekm. The dpseudoF function implements it and, besides the dataset, one provides the maximum K and Q values.

> dpseudoF(X = macro, maxK = 10, maxQ = 5)
           Q = 2     Q = 3     Q = 4     Q = 5
K = 2  38.666667 22.800000 16.000000 12.222222
K = 3  22.800000 13.875000  9.818182  7.500000
K = 4  16.000000  9.818182  6.933333  5.263158
K = 5  12.222222  7.500000  5.263158  3.958333
K = 6   9.818182  6.000000  4.173913  3.103448
K = 7   8.153846  4.950000  3.407407  2.500000
K = 8   6.933333  4.173913  2.838710  2.051282
K = 9   6.000000  3.576923  2.400000  1.704545
K = 10  5.263158  3.103448  2.051282  1.428571

Here, the indices of the maximum value within the matrix are chosen as the best Q and K values.

Just by providing the centroid matrix, one can check how those are related. Such information is usually not provided by partitive clustering methods, but rather for the hierarchical ones. Nevertheless, it is always possible to construct a distance matrix based on the centroids and represent it via a dendrogram, using an arbitrary distance. The centree function does exactly this, using the the Ward (1963) distance, which corresponds to the squared Euclidean one. In practice, one provides as an argument the output of one of the 4 methods performing clustering.

> out <- factkm(X = macro, K = 10, Q = 3)
> centree(drclust_out = out)
Dendrogram of a 10-centroids

Figure 10: Dendrogram of a 10-centroids

If, instead, one wants to assess visually the quality of the obtained partition, there are another instrument typically used for this purpose. The silhouette (Rousseeuw 1987), besides summarizing this numerically, allows to also graphically represent it. By employing cluster for the computational part and factoextra for the graphical part, silhouette takes as argument the output of one of the four drclust clustering methods and the dataset, returning the results of the two functions with just one command.

# Note: The same data must be provided to dpcakm and silhouette 
> out <- dpcakm(X = macro, K = 5, Q = 3)
> silhouette(X = macro, drclust_out = out)   
Silhouette of a DPCA KM solution

Figure 11: Silhouette of a DPCA KM solution

As can be seen in Figure 11, the average silhouette width is also displayed as a scalar above the plot.

A purely graphical tool used to assess the dis/homogeneity of the groups is the heatmap. By employing the pheatmap library (Kolde 2019) and the result of doublekm, redkm, factkm or dpcakm, the function orders each cluster of observations in ascending order with regard to the distance between observation and cluster to which it has been assigned. After doing so for each group, groups are sorted based on the distance between their centroid and the grand mean (i.e., the mean of all observations). The heatm function allows to obtain such result. Figure 11 represents its graphical output.

# Note: The same data must be provided to dpcakm and silhouette 
> out <- doublekm(X = macro, K = 5, Q = 3)
> heatm(X = macro, drclust_out = out)
heatmap of a double-KM solution

Figure 12: heatmap of a double-KM solution

Biplots and parallel coordinates plots can be obtained based on the output of the techniques in the proposed package by means of few instructions, using libraries available on CRAN, such as: ggplot2 (Wickham et al. 2024), grid (which now became a base package, dplyr (Wickham et al. 2023) and GGally by (Schloerke et al. 2024). Therefore, the user can easily visualize the subspaces provided by the statistical techniques. In future versions of the package, the two functions will be available as built-in. Currently, for the biplot, we have:

library(ggplot2)
library(grid)
library(dplyr)

out <- factkm(macro, K = 2, Q = 2, Rndstart = 100)

# Prepare data
Y <- as.data.frame(macro%*%out$A); colnames(Y) <- c("Dim1", "Dim2")
Y$cluster <- as.factor(cluster(out$U))

arrow_scale <- 5
A <- as.data.frame(out$A)[, 1:2] * arrow_scale
colnames(A) <- c("PC1", "PC2")
A$var <- colnames(macro)

# Axis limits
lims <- range(c(Y$Dim1, Y$Dim2, A$PC1, A$PC2)) * 1.2

# Circle
circle <- data.frame(x = cos(seq(0, 2*pi, length.out = 200)) * arrow_scale,
                     y = sin(seq(0, 2*pi, length.out = 200)) * arrow_scale)

ggplot(Y, aes(x = Dim1, y = Dim2, color = cluster)) +
  geom_point(size = 2) +
  geom_segment(
    data = A, aes(x = 0, y = 0, xend = PC1, yend = PC2),
    arrow = arrow(length = unit(0.2, "cm")), inherit.aes = FALSE, color = "gray40"
  ) +
  geom_text(
    data = A, aes(x = PC1, y = PC2, label = colnames(macro)), inherit.aes = FALSE,
    hjust = 1.1, vjust = 1.1, size = 3
  ) +
  geom_path(data = circle, aes(x = x, y = y), inherit.aes = FALSE,
            linetype = "dashed", color = "gray70") +
  coord_fixed(xlim = lims, ylim = lims) +
  labs(x = "Component 1", y = "Component 2", title = "Biplot") +
  theme_minimal()

which leads to the result shown in Figure 13.

Biplot of a FKM solution

Figure 13: Biplot of a FKM solution

By using essential information in the output provided by factkm, we are able to see the cluster of each observation, represented in the estimated subspace induced by \(\mathbf{A}\), as well as the relationships between observed and latent variables via the arrows.

In order to obtain the parallel coordinates plot, a single instruction is sufficient, based on the same output as a starting point.

library(GGally)
out <- factkm(macro, K = 3, Q = 2, Rndstart = 100)
ggparcoord(
    data = Y, columns = 1:(ncol(Y)-1),     
    groupColumn = "cluster", scale = "uniminmax", 
    showPoints = FALSE, alphaLines = 0.5
) + 
    theme_minimal() + 
    labs(title = "Parallel Coordinate Plot", 
      x = "Variables",  y = "Normalized Value")

For FKM applied on macro dataset, the output is reported in figure 14.

Parallel coordinates plot of a FKM solution

Figure 14: Parallel coordinates plot of a FKM solution

6 Conclusions

This work presents an R library that implements techniques of joint dimensionality reduction and clustering. Some of them are already implemented by other packages. In general, the performance between the proposed implementations and the earlier ones is very close, except for the FKM, where the new one is always better for the metrics considered here. As an element of novelty, the empty cluster(s) issue that may occur in the estimation process has been addressed by applying 2-means on the cluster with the highest deviance, preserving the monotonicity of the algorithm and providing slightly better results, at a higher computational costs.

The implementation of the two dimensionality reduction methods, dispca and disfa, as well as doublekm offered by our library are novel in the sense that they do not find previous implementation in R. Besides the methodological difference between these last two, the latent variables are computed differently: the former uses the well-known eigendecomposition, while the latter adopts the power method. In general, by implementing all the models in C/C++, the speed advantage has been shown to be remarkable compared to all the existing comparisons. These improvements allow the application of the techniques on datasets that are relatively large, to obtain results in reasonable amounts of time. Some additional functions have been implemented for the purpose of helping in the choice process for the values of the hyperparameters. Additionally, they can also be used as an assessment tool in order to evaluate the quality of the results provided by the implementations.

Caliński, T., and J. Harabasz. 1974. “A Dendrite Method for Cluster Analysis.” Communications in Statistics 3 (1): 1–27. https://doi.org/10.1080/03610927408827101.
Cattell, R. B. 1965. “Factor Analysis: An Introduction to Essentials i. The Purpose and Underlying Models.” Biometrics 21 (1): 190–215. https://doi.org/10.2307/2528364.
Charrad, M., N. Ghazzali, V. Boiteau, and A. Niknafs. 2014. “NbClust: An R Package for Determining the Relevant Number of Clusters in a Data Set.” Journal of Statistical Software 61 (6): 1–36. https://doi.org/10.18637/jss.v061.i06.
Cronbach, Lee J. 1951. “Coefficient Alpha and the Internal Structure of Tests.” Psychometrika 16 (3): 297–334. https://doi.org/10.1007/BF02310555.
De Soete, G., and J. D. Carroll. 1994. “K-Means Clustering in a Low-Dimensional Euclidean Space.” Chap. 24 in New Approaches in Classification and Data Analysis, edited by E. Diday, Y. Lechevallier, M. Schader, P. Bertrand, and B. Burtschy. Springer. https://doi.org/10.1007/978-3-642-51175-2_24.
DeSarbo, W. S., K. Jedidi, K. Cool, and D. Schendel. 1990. “Simultaneous Multidimensional Unfolding and Cluster Analysis: An Investigation of Strategic Groups.” Marketing Letters 2: 129–46. https://doi.org/10.1007/BF00436033.
Dray, S., and A.-B. Dufour. 2007. “The Ade4 Package: Implementing the Duality Diagram for Ecologists.” Journal of Statistical Software 22 (4): 1–20. https://doi.org/10.18637/jss.v022.i04.
Eddelbuettel, D., and R. Francois. 2011. “Rcpp: Seamless R and C++ Integration.” Journal of Statistical Software 40 (8): 1–18. https://doi.org/10.18637/jss.v040.i08.
Eddelbuettel, D., and C. Sanderson. 2014. “RcppArmadillo: Accelerating R with High-Performance C++ Linear Algebra.” Computational Statistics and Data Analysis 71: 1054–63. https://doi.org/10.1016/j.csda.2013.02.005.
Hotelling, H. 1933. “Analysis of a Complex of Statistical Variables into Principal Components.” Journal of Educational Psychology 24: 417–41, and 498–520. https://doi.org/10.1037/h0071325.
Hubert, L., and P. Arabie. 1985. “Comparing Partitions.” Journal of Classification 2 (1): 193–218. https://doi.org/10.1007/BF01908075.
Kaiser, Henry F. 1960. “The Application of Electronic Computers to Factor Analysis.” Educational and Psychological Measurement 20 (1): 141–51. https://doi.org/10.1177/001316446002000116.
Kassambara, A. 2022. Factoextra: Extract and Visualize the Results of Multivariate Data Analyses. R package version 1.0.7. https://cran.r-project.org/package=factoextra.
Kolde, R. 2019. Pheatmap: Pretty Heatmaps. R package 1.0.12. https://cran.r-project.org/package=pheatmap.
Lawley, D. N., and A. E. Maxwell. 1962. “Factor Analysis as a Statistical Method.” Journal of the Royal Statistical Society. Series D (The Statistician) 12 (3): 209–29. https://doi.org/10.2307/2986915.
Lê, S., J. Josse, and F. Husson. 2008. “FactoMineR: An R Package for Multivariate Analysis.” Journal of Statistical Software 25 (1): 1–18. https://doi.org/10.18637/jss.v025.i01.
Maechler, M., P. Rousseeuw, A. Struyf, M. Hubert, and K. Hornik. 2023. Cluster: Cluster Analysis Basics and Extensions. R package version 2.1.6. https://CRAN.R-project.org/package=cluster.
Markos, A., A. I. D’Enza, and M. van de Velden. 2019. “Beyond Tandem Analysis: Joint Dimension Reduction and Clustering in R.” Journal of Statistical Software 91 (10): 1–24. https://doi.org/10.18637/jss.v091.i10.
McQueen, J. 1967. “Some Methods for Classification and Analysis of Multivariate Observations.” Computer and Chemistry 4: 257–72. https://www.cs.cmu.edu/~bhiksha/courses/mlsp.fall2010/class14/macqueen.pdf.
Nieto Librero, A. B., and A. Freitas. 2023. biplotbootGUI: Bootstrap on Classical Biplots and Clustering Disjoint Biplot. https://cran.r-project.org/web/packages/biplotbootGUI/index.html.
Pardo, C. E., and P. C. Del Campo. 2007. “Combination of Factorial Methods and Cluster Analysis in R: The Package FactoClass.” Revista Colombiana de Estadística 30 (2): 231–45. https://revistas.unal.edu.co/index.php/estad/article/view/29478.
Pearson, K. 1901. “On Lines and Planes of Closest Fit to Systems of Points in Space.” The London, Edinburgh, and Dublin Philosophical Magazine and Journal of Science 2 (11): 559–72. https://doi.org/10.1080/14786440109462720.
R Core Team. 2015. R: A Language and Environment for Statistical Computing. R Foundation for Statistical Computing. http://www.R-project.org/.
Rand, W. M. 1971. “Objective Criteria for the Evaluation of Clustering Methods.” Journal of the American Statistical Association 66 (336): 846–50. https://doi.org/10.2307/2284239.
Rocci, R., and M. Vichi. 2008. “Two-Mode Multi-Partitioning.” Computational Statistics & Data Analysis 52 (4): 1984–2003. https://doi.org/10.1016/j.csda.2007.06.025.
Rousseeuw, Peter J. 1987. “Silhouettes: A Graphical Aid to the Interpretation and Validation of Cluster Analysis.” Journal of Computational and Applied Mathematics 20: 53–65. https://doi.org/10.1016/0377-0427(87)90125-7.
Schloerke, B., D. Cook, H. Hofmann, et al. 2024. GGally: Extension to ‘Ggplot2’. R package version 2.1.2. https://CRAN.R-project.org/package=GGally.
Timmerman, Marieke E., Eva Ceulemans, Henk A. L. Kiers, and Maurizio Vichi. 2010. “Factorial and Reduced k-Means Reconsidered.” Computational Statistics & Data Analysis 54 (7): 1858–71. https://doi.org/10.1016/j.csda.2010.02.009.
Vichi, M. 2001. “Double k-Means Clustering for Simultaneous Classification of Objects and Variables.” Chap. 6 in Advances in Classification and Data Analysis, edited by S. Borra, R. Rocci, M. Vichi, and M. Schader. Springer. https://doi.org/10.1007/978-3-642-59471-7_6.
Vichi, M. 2017. “Disjoint Factor Analysis with Cross-Loadings.” Advances in Data Analysis and Classification 11 (4): 563–91. https://doi.org/10.1007/s11634-016-0263-9.
Vichi, Maurizio, and Henk A. L. Kiers. 2001. “Factorial k-Means Analysis for Two-Way Data.” Computational Statistics & Data Analysis 37 (1): 49–64. https://doi.org/10.1016/S0167-9473(00)00064-5.
Vichi, Maurizio, and Gilbert Saporta. 2009. “Clustering and Disjoint Principal Component Analysis.” Computational Statistics & Data Analysis 53 (8): 3194–208. https://doi.org/10.1016/j.csda.2008.05.028.
Vichi, M., D. Vicari, and Henk A. L. Kiers. 2019. “Clustering and Dimension Reduction for Mixed Variables.” Behaviormetrika, 243–69. https://doi.org/10.1007/s41237-018-0068-6.
W. R. Revelle. 2017. Psych: Procedures for Personality and Psychological Research. https://cran.r-project.org/web/packages/psych/index.html.
Ward, J. H. 1963. “Hierarchical Grouping to Optimize an Objective Function.” Journal of the American Statistical Association 58 (301): 236–44. https://doi.org/10.1080/01621459.1963.10500845.
Wickham, H., W. Chang, L. Henry, et al. 2024. Ggplot2: Elegant Graphics for Data Analysis. R package version 3.4.4. https://CRAN.R-project.org/package=ggplot2.
Wickham, H., R. François, L. Henry, and K. Müller. 2023. Dplyr: A Grammar of Data Manipulation. R package version 1.1.4. https://CRAN.R-project.org/package=dplyr.
Yamamoto, M., and H. Hwang. 2014. “A General Formulation of Cluster Analysis with Dimension Reduction and Subspace Separation.” Behaviormetrika 41: 115–29. https://doi.org/10.2333/bhmk.41.115.
Zou, H., T. Hastie, and R. Tibshirani. 2006. “Sparse Principal Component Analysis.” Journal of Computational and Graphical Statistics 15 (2): 265–86. https://doi.org/https://doi.org/10.1198/106186006X113430.

7 Supplementary materials

Supplementary materials are available in addition to this article. It can be downloaded at RJ-2025-046.zip

8 CRAN packages used

psych, ade4, FactoMineR, FactoClass, factoextra, NbClust, drclust, clustrd, biplotbootGUI, Rcpp, RcppArmadillo, cluster, pheatmap, ggplot2, dplyr, GGally

9 CRAN Task Views implied by cited packages

ChemPhys, Cluster, Databases, Environmetrics, HighPerformanceComputing, MissingData, ModelDeployment, NetworkAnalysis, NumericalMathematics, Phylogenetics, Psychometrics, Robust, Spatial, TeachingStatistics

10 Note

This article is converted from a Legacy LaTeX article using the texor package. The pdf version is the official version. To report a problem with the html, refer to CONTRIBUTE on the R Journal homepage.

References

Reuse

Text and figures are licensed under Creative Commons Attribution CC BY 4.0. The figures that have been reused from other sources don't fall under this license and can be recognized by a note in their caption: "Figure from ...".

Citation

For attribution, please cite this work as

Prunila & Vichi, "drclust: An R Package for Simultaneous Clustering and Dimensionality Reduction", The R Journal, 2026

BibTeX citation

@article{RJ-2025-046,
  author = {Prunila, Ionel and Vichi, Maurizio},
  title = {drclust: An R Package for Simultaneous Clustering and Dimensionality Reduction},
  journal = {The R Journal},
  year = {2026},
  note = {https://doi.org/10.32614/RJ-2025-046},
  doi = {10.32614/RJ-2025-046},
  volume = {17},
  issue = {4},
  issn = {2073-4859},
  pages = {104-133}
}